×
注意!页面内容来自https://www.zhihu.com/tardis/bd/art/721779164,本站不储存任何内容,为了更好的阅读体验进行在线解析,若有广告出现,请及时反馈。若您觉得侵犯了您的利益,请通知我们进行删除,然后访问 原网页
大家好,这里是效率办公指南!
在线性代数中,逆矩阵是一个非常重要的概念。一个方阵如果存在逆矩阵,意味着该矩阵是可逆的,或者说是非奇异的。逆矩阵在解决线性方程组、计算矩阵的方根等方面有着广泛的应用。今天,我们将介绍如何求矩阵的逆,提供逆矩阵的计算公式,并展示具体的计算示例。
对于一个可逆的方阵 A ,其逆矩阵 A^-1满足以下条件:

其中 I 是单位矩阵。求逆矩阵通常可以通过以下几种方法:
这是最常用的方法,通过行变换将矩阵 A 转换为单位矩阵,同时对单位矩阵进行相同的行变换,最终单位矩阵变为 A^-1。
对于一个 n×n 的矩阵 A,其逆矩阵可以通过以下公式计算:

其中 det(A) 是矩阵 A 的行列式, adj(A) 是 A 的伴随矩阵,伴随矩阵由 A 的各个元素的代数余子式组成。
考虑矩阵:

其逆矩阵 A^-1 可以通过以下公式计算:

前提是矩阵 A 的行列式不为零。
对于矩阵:

首先计算行列式 det(A) ,然后计算伴随矩阵:
det(A) = 1 x (1 x 0 - 4 x 6) - 2 x (0 x 0 - 4 x 5) + 3 x (0 x 6 - 1 x 5) = 1
行列式计算的方法参考:矩阵行列式怎么求?矩阵行列式计算公式我来告诉你
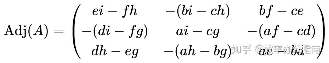
伴随矩阵 adj(A) 为:


因此,逆矩阵 A^-1 为:

逆矩阵的求法是线性代数中的一个基础且重要的技能。通过高斯-约当消元法或伴随矩阵法,我们可以计算出矩阵的逆。这些方法在解决线性方程组、计算矩阵的方根等方面有着广泛的应用。如果你有任何疑问或需要进一步的帮助,欢迎在下方留言,我们会尽快为你解答。
微信搜一搜【智启创想】,使用逆矩阵计算器