
¿Qué es la densidad de corriente?
Se denomina densidad de corriente a la cantidad de corriente por unidad de área a través de un conductor. Es una magnitud vectorialy su módulo está dado por el cociente entre la corriente instantánea I que atraviesa la sección transversal del conductor y el área S de la mismade manera que:
La dirección del vector densidad de corriente es la del vector normal unitario al área de sección transversal ny por último el sentido es el mismo que tiene la corrienteque por convención se toma como el que tendrían los portadores de carga positivos.
Dicho asílas unidades en el Sistema Internacional para el vector densidad de corriente son amperios por metro cuadrado: A/m2. En forma vectorial la densidad de corriente es:
En la figura de arriba se aprecia el vector densidad de corriente cuya magnitud en este caso es j(y,z)es deciruna función de las coordenadas jyy z. S es el área de sección transversal que se ilustra cuadrada pero puede tener cualquier otra formausualmente es circular.
La densidad de corriente y la intensidad de la corriente están relacionadassi bien la primera es un vector y la segunda no lo es. La corriente no es un vector pese a tener magnitud y sentidopuesto que tener una dirección preferencial en el espacio no es necesario para establecer el concepto.
Sin embargo el campo eléctrico que se establece en el interior del conductor sí es un vectory está relacionado con la corriente. Intuitivamente se comprende que el campo es más intenso cuando la corriente también es más intensapero el área de la sección transversal del conductor también juega un papel determinante en este aspecto.
Modelo de conducción eléctrica
En un trozo de alambre conductor neutro como el que se muestra en la figura inferiorde forma cilíndricalos portadores de carga se mueven aleatoriamente en cualquier dirección. Dentro del conductorde acuerdo al tipo de sustancia con la que esté hechohabrá n portadores de carga por unidad de volumen. No se debe confundir esta n con el vector normal perpendicular a la superficie conductora.

El modelo de material conductor propuesto consiste en una red iónica fija y un gas de electronesque son los portadores de corrienteaunque estén representados aquí con signo +pues esta es la convención para la corriente.
¿Qué sucede cuando el conductor se conecta a una batería?
Seguidamente se establece una diferencia de potencial entre los extremos del conductorgracias a una fuente que se encarga de hacer el trabajo: la batería.

Gracias a esta diferencia de potenciallos portadores de corriente se aceleran y marchan de una forma más ordenada que cuando el material se encontraba neutro. De esta manera es capaz de encender la bombilla del circuito mostrado.
En tal caso se ha creado un campo eléctrico en el interior del conductor que acelera los electrones. Claro que el camino de estos no está libre: pese a que los electrones poseen aceleracióna medida que chocan con la red cristalina van cediendo algo de su energía y se dispersan todo el tiempo. El resultado global es que se mueven un poco más ordenadamente dentro del materialpero ciertamente su progreso es muy poco.
A medida que chocan con la red cristalina la ponen a vibrardando como resultado un calentamiento del conductor. Este es un efecto que se nota fácilmente: los cables conductores se calientan cuando son atravesados por una corriente eléctrica.
La velocidad de arrastre vd y la densidad de corriente
Los portadores de corriente poseen ahora un movimiento global en la misma dirección que el campo eléctrico. Esa velocidad global que tienen se denomina velocidad de arrastre o velocidad de deriva y se simboliza como vd.

Se puede calcular mediante algunas consideraciones sencillas: la distancia recorrida dentro del conductor por cada partículaen un intervalo de tiempo dt es vd . dt. Como se dijo anteshay n partículas por unidad de volumensiendo el volumen el producto del área de la sección transversal A por la distancia recorrida:
V= A.vd dt
Si cada partícula tiene carga q¿qué cantidad de carga dQ atraviesa el área A en un intervalo de tiempo dt?:
dQ =q.n. A.vd dt
La corriente instantánea justamente es dQ/dtpor lo tanto:
Y dividiendo entre A se obtiene el vector densidad de corriente J:
J = q.n.vd
Cuando la carga es positivavd está en la misma dirección que E y J. Si la carga fuese negativavd es opuesta al campo Epero J y E siguen teniendo la misma dirección. Por otro ladoaunque la corriente sea la misma en todo el circuitola densidad de corriente no necesariamente permanece invariable. Por ejemploes menor en la bateríacuya área de sección transversal es mayor que en los alambres de conducciónmás delgados.
Conductividad de un material
Puede pensarse que los portadores de carga moviéndose en el interior del conductor y chocando continuamente con la red cristalinase enfrentan a una fuerza que se opone a su avanceuna especie de roce o fuerza disipativa Fd que es proporcional a la velocidad promedio que llevanesto esla velocidad de arrastre:
Fd ∝ v
Fd = α. vd
Se trata del modelo de Drude-Lorentzcreado a comienzos del siglo XX para explicar el movimiento de los portadores de corriente en el interior de un conductor. No toma en cuenta los efectos cuánticos. α es la constante de proporcionalidadcuyo valor es acorde con las características del material.
Si la velocidad de arrastre es constantela sumatoria de fuerzas que actúan sobre un portador de corriente es nula. La otra fuerza es la ejercida por el campo eléctricocuya magnitud es Fe = q.E:
qE – α. vd = 0
La velocidad de arrastre puede expresarse en términos de la densidad de corrientesi se la despeja convenientemente:
De donde:
J=nq2E/α
Las constantes nq y α se agrupan en una sola llamada σde manera que finalmente se obtiene:
J = σE
Ley de Ohm
La densidad de corriente es directamente proporcional al campo eléctrico establecido en el interior del conductor. A este resultado se lo conoce como ley de Ohm en forma microscópica o ley de Ohm local.
El valor de σ = n.q2 / α es una constante que depende del material. Se trata de la conductividad eléctrica o simplemente conductividad. Sus valores están tabulados para muchos materiales y sus unidades en el Sistema Internacional son amperios/voltio x metro (A/V.m)si bien hay otras unidadespor ejemploS/m (siemens por metro).
No todos los materiales cumplen con esta ley. A los que sí lo hacen se los conoce como materiales óhmicos.
En una sustancia con alta conductividad es fácil establecer un campo eléctricomientras que en otra con baja conductividad cuesta más trabajo. Ejemplos de materiales con elevada conductividad son: grafenoplatacobre y oro.
Ejemplos de aplicación de la densidad de corriente
Ejemplo resuelto 1
Encuentre la velocidad de arrastre de los electrones libres en un cable de cobre de área de sección transversal 2 mm2 cuando pasa a través de él una corriente de 3 A. El cobre posee 1 electrón de conducción por cada átomo.
Dato: número de Avogadro = 6,023 1023 partículas por mol; carga del electrón -1.6 x 10-19 C; densidad del cobre 8960 kg/m3; peso molecular del cobre: 63,55 g/mol.
Solución
De J = q.n.vd se despeja la magnitud de la velocidad de arrastre:

Para facilitar los cálculosen primer lugar se encuentra el valor de nque es el número de portadores de carga por unidad de volumendespués se determina la magnitud de J y finalmente se sustituye todo en la expresión anterior:
¿Cómo es que las luces se encienden instantáneamente?
Es asombrosamente pequeña esta velocidadpero hay que recordar que los portadores de carga están continuamente chocando y rebotando en el interior del conductorpor lo que no se espera que avancen demasiado deprisa. Puede que a un electrón le tome casi una hora ir desde la batería del coche hasta la bombilla del faropor ejemplo.
Afortunadamente no hay que esperar tanto para encender las luces. Un electrón en la batería empuja rápidamente a los demás en el interior del conductory así el campo eléctrico se establece muy rápidamente al ser una onda electromagnética. Es la perturbación lo que se propaga dentro del alambre.
Los electrones logran saltar a la velocidad de la luz de un átomo al adyacente y la corriente empieza a fluir de la misma forma en la que el agua lo hace a través de una manguera. Las gotas al comienzo de la manguera no son las mismas que a la salidapero igualmente se trata de agua.
Ejemplo resuelto 2
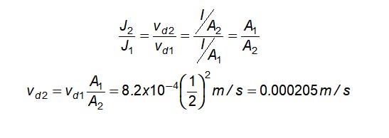
La figura muestra dos alambres conectadoshechos del mismo material. La corriente que entra desde la izquierda a la porción más delgada es de 2 A. Allí la velocidad de arrastre de los electrones de 8.2 x 10-4 m/s. Suponiendo que el valor de la corriente se mantiene constanteencontrar la velocidad de arrastre de los electrones en la porción de la derechaen m/s.

Solución
En la sección más delgada: J1 = n.q. vd1 = I/A1
Y en la sección más gruesa: J2 = n.q. vd2 = I/A2
La corriente es la misma para ambas seccionesasí como n y qpor lo tanto:
La velocidad de arrastre es menor en la porción más anchalo cual era de esperar.
Referencias
- ResnickR. Física. Tercera edición ampliada en español. Compañía Editorial Continental.
- SearsZ. University Physics with Modern Physics. 14th. ed.
- SerwayR.JewettJ. Física para Ciencias e Ingeniería con Física Moderna. 7ma Edición. Cengage Learning.
- Densidad e intensidad de corriente. Recuperado de us.es.
- WalkerJ. Physics. 4th Ed. Pearson.