×

注意!页面内容来自https://www.zhihu.com/market/pub/120199099/manuscript/1384572742012907520,本站不储存任何内容,为了更好的阅读体验进行在线解析,若有广告出现,请及时反馈。若您觉得侵犯了您的利益,请通知我们进行删除,然后访问 原网页

4.1 数值天气预报基础

4.1 数值天气预报基础

数值天气预报模式从诞生至今已取得了长足的发展,模式时空分辨率和预报准确性得到了大幅提高。几乎所有发达国家的天气预报都越来越依靠数值预报的结果,数值预报方法已经成为未来天气预报的重点发展方向。数值天气预报的基本思路是选用大气运动基本方程组,在给定初始条件和边界条件下,采用数值计算方法来求解大气运动基本方程组,由已知初始时刻的大气运动状态来预报未来的大气运动状态。

4.1.1 大气运动基本方程组

大气运动遵循许多定律,其中包括牛顿第二定律、质量守恒定律、热力学能量守恒定律、气体实验定律和水汽守恒定律,它们的数学表达式分别为运动方程、连续方程、热力学方程、状态方程和水汽方程,构建数值天气预报的方程组要根据大气运动所遵循的基本物理规律。

在现有中尺度数值天气预报模式中,Weather Research and Forecast(WRF)模式是使用较多的模式之一。WRF 模式是由美国的国家大气研究中心、国家环境预报中心等联合一些大学和研究机构共同开发的新一代区域中尺度天气模式,其主要是针对水平分辨率为 1~10km 的大气科学研究和高分辨率数值预报业务。WRF 模式不仅具有先进的数值方法和资料同化技术,不断更新改进的物理过程方案,而且具有多重嵌套、易于定位的能力,广泛应用于科学研究和预报业务。在这里将给出 WRF 中使用的 σ 坐标系及对应的大气运动方程组。

σ 坐标系是一种与气压 P 相联系的(x,y,σ,t)坐标系。由于 σ 坐标系的下边界条件极为简单,便于引入地形的动力作用,所以在数值天气预报(如 WRF 模式)中多采用 σ 坐标系下的大气基本方程组。

σ 坐标系下的大气基本方程组如下:

水平运动方程:img加载中...

垂直运动方程:img加载中...

静力学方程:img加载中...

连续方程:img加载中...

热力学方程:img加载中...

状态方程:img加载中...

其中,在 σ 坐标系中垂直坐标定义为img加载中...

img加载中...

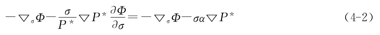
将静力学方程代入水平运动方程中,可将水平气压梯度力项改写为:

img加载中...

这样则使得水平气压梯度力将难以计算的、复杂的下边界条件转化为水平气压梯度力的计算精度问题,并可在数值天气预报中插值求解。通过 σ 坐标系边界特性垂直积分连续方程可得气压倾向方程:

img加载中...

该方程表明地表面某一地点气压的局地变化率img加载中...等于该点之上单位时间整个单位截面积气柱内空气质量的辐散辐合img加载中...

垂直运动方程表明某 σ 面上的垂直速度 σ·由从 0 到 σ 气层单位时间、单位截面积气柱内空气质量的辐散辐合以及地面的气压倾向这两个因子所决定。

img加载中...

图 4-1 σ 坐标系示意图

σ 坐标系如图 4-1 所示,它的优点是下边界面是 σ=1 的坐标面,下边界条件极为简单,便于在数值天气预报中引入地形的动力作用。缺点是水平运动方程复杂,气压梯度力难以精确计算,不过随着数值天气预报理论研究的进展和计算技术的进步,这个问题正在逐步得到解决。因此,当今国内外大多数都使用 σ 坐标系基本方程组进行数值天气预报。

4.1.2 地图投影方式

地球表面是个曲面,而地图通常是二维平面,在数值天气预报中能够使用的是平面化的地图形式,因此需要考虑把曲面转化成平面,这个转化的过程称之为地图投影。

地图投影是利用数学方法把地球表面的经线、纬线转换到平面或转换到圆锥面、圆柱面上,再展开成平面的方法,各种天气图、气候图的底图就是按此方法投影的。不同的投影形式具有各不相同的变形特征,气象上常用的投影方法有极射赤面投影、兰勃特投影和麦卡托投影。

4.1.2.1 极射赤面投影

极射赤面投影的投影光源在南极,其映像面是一个与地球表面北纬 60° 相割的平面,标准纬度为 60°N。这种投影方式主要用来表示线、面的方位、相互间的角距关系及其运动轨迹,把物体三维空间的几何要素(线、面)反映在投影平面上进行处理。它是一种简便、直观的计算方法,又是一种形象、综合的定量图解。

用极射赤面投影方法制成的地图,其经线是一组由北极点向赤道辐射的直线,纬线是一组以北极点为圆心的同心圆。由于这种投影在高纬度地区的变形比较小,所以它多用作极地天气图或北半球天气图的底图。

4.1.2.2 兰勃特投影

兰勃特投影是一种正形圆锥投影,由其形成的投影图多用于气象上,在中尺度数值预报中常用这种投影方式。该投影方式有两种形式。

1.等角圆锥投影

设想用一个正圆锥切于或割于球面,应用等角条件将地球面投影到圆锥面上,然后沿一母线展开成平面。投影后纬线为同心圆圆弧,经线为同心圆半径,没有角度变形,经线长度比和纬线长度比相等,适用于制作沿纬线分布的中纬度地区中、小比例尺地图,国际上常用此投影编制 1∶100 万地形图和航空图。

2.等积方位投影

设想球面与平面切于一点,按等积条件将经纬线投影于平面而成。按投影面与地球面的相对位置,分为正轴、横轴和斜轴三种。在正轴投影中,纬线为同心圆,其间隔由投影中心向外逐渐缩小,经线为同心圆半径。在横轴投影中,中央经线和赤道为相互垂直的直线,其他经线和纬线分别为对称于中央经线和赤道的曲线。在斜轴投影中,中央经线为直线,其他经线为对称于中央经线的曲线。该投影无面积变形,角度和长度变形由投影中心向周围增大。横轴投影和斜轴投影较常应用,东西半球图和分洲图多用此投影。

最低 0.3 元/天开通会员,查看完整内容